8. branch, merge, rebase

프로젝트는 하나의 구성 단위 이상으로 관리되는게 일반적이다.
일반적으로 프로젝트는 1)로컬, 2)테스트, 3)적용, 4)배포 4단계로 관리된다.
기존의 프로젝트 소스코드를 수정하지 않고, 새로운 기능을 적용시키는 테스트를 진행하려면 어떻게 해야 할까?
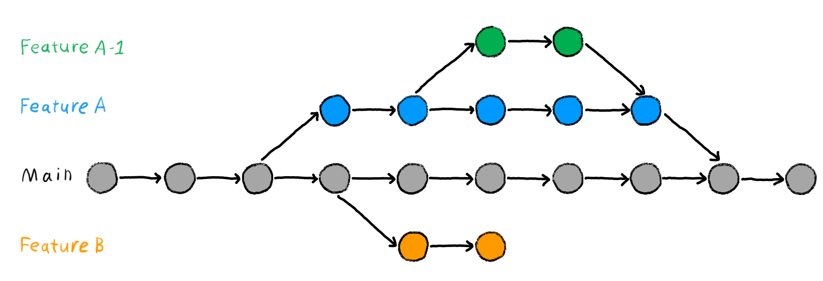
Branch 는 하나의 프로젝트에서 하나 이상의 구성 묶음을 관리하는 단위(폴더, 파일 묶음)이다.
1. branch 추가 생성, 변경, 삭제
현재 브랜치 목록 확인
git branch
브랜치 추가
git branch <브랜치명>
브랜치 변경
git swtich <브랜치명>
브랜치 삭제
git branch -d <브랜치명>
브랜치명 변경
git branch -m <기존 브랜치명> <새로운 브랜치명>
2. branch 1개 추가, 확인, 변경, 삭제
Branch 는 관리 단위이다.

3. branch 1개 추가 후, 각자 작업하기


브랜치별로 각각 작업할 수 있다.


4. merge
각각의 브랜치에서 작업한 내용을 통합 할 수 있다.
git merge <합쳐질 브랜치명>
① main 브랜치에서 newbie 내용을 합치려면, main 브랜치로 switch 한다.
② merge(통합)한다.
③ 통합 과정에서, 충돌이 발생한 부분을 수정하기 위해 에디터를 실행한다.

자동 통합 충돌 문제는, 수동으로 변경을 진행해야 한다.
④ incoming 부분을 먼저 추가 할 수 있다.
⑤ current 부분을 먼저 추가 할 수 있다.
⑥ 추가된 부분을 reset 할 수 있다.
⑦ 중복된 부분을 삭제, 수정 한다.

⑧ 충돌 문제를 해결 한 뒤, merge 작업을 마무리 한다.
git merge --continue

